JMP 14.2 联机文档
发现 JMP
使用 JMP
基本分析
基本绘图
刻画器指南
实验设计指南
拟合线性模型
预测和专业建模
多元方法
质量和过程方法
可靠性和生存方法
消费者研究
Scripting Guide
JSL Syntax Reference
该帮助的版本不再更新,请参见
https://www.jmp.com/support/help/zh-cn/15.2
获取最新的版本.
质量和过程方法
•
控制图生成器
•
“控制图生成器”平台的统计详细信息
• u 图和 c 图的控制限
上一个
•
下一个
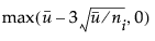
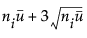
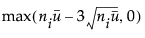
u 图和 c 图的控制限
下控制限 (LCL) 和上控制限 (UCL) 分别计算如下:
u 图下控制限 =
u 图上控制限 =
c 图下控制限 =
c 图上控制限 =
限值随
n
i
变化。
u
i
是第
i
个子组中的每单位不合格项数。通常,
u
i
=
c
i
/
n
i
。
c
i
是第
i
个子组中的不合格项总数
n
i
是第
i
个子组中的检查单位数
ū
是从各个子组中抽取的每单位不合格项的平均数。数量
ū
计算为加权平均值
N
是子组数