JMP 14.2 联机文档
发现 JMP
使用 JMP
基本分析
基本绘图
刻画器指南
实验设计指南
拟合线性模型
预测和专业建模
多元方法
质量和过程方法
可靠性和生存方法
消费者研究
Scripting Guide
JSL Syntax Reference
该帮助的版本不再更新,请参见
https://www.jmp.com/support/help/zh-cn/15.2
获取最新的版本.
质量和过程方法
•
控制图生成器
•
“控制图生成器”平台的统计详细信息
• g 图的控制限
上一个
•
下一个
g 图的控制限
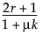
负二项分布是扩展的几何 (Poisson) 分布,允许相对于 Poisson 的过度离散。负二项分布可用于构建计数数据的精确和近似控制限。可基于负二项分布的卡方近似来获得近似控制限。所有数据都用作单个观测,而与子组大小无关。
假设 X 服从参数为 (
μ
,
k
) 的负二项分布,则:
P
(
X
≤
r
) ~
P(X
2
v
<
)
其中:
是使用
v
= 2
μ
/(1+
μ
k
) 自由度的卡方变量。
基于以上近似计算,可确定近似的上控制限和下控制限。对于标定
α
水平的一个方向上的第一类错误概率,近似上控制限是上控制限的限值,如下所示:
P
(
X
> UCL) = 1 -
P(X
2
v
<
) =
α
同样,近似的下控制限 (LCL) 满足:
P
(
X
< LCL) = 1 -
P(X
2
v
>
) =
α
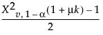
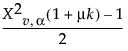
因此,近似水平的下控制限 (LCL) 和上控制限 (UCL) 分别计算如下:
上控制限 =
下控制限 =
其中:
是使用
v
= 2
μ
/(1+
μ
k
) 自由度的卡方分布的上(下)百分位数。负下控制限可设置为零。
有关负二项控制限的详细信息,请参见 Hoffman (
2003
)。