JMP 14.2 联机文档
发现 JMP
使用 JMP
基本分析
基本绘图
刻画器指南
实验设计指南
拟合线性模型
预测和专业建模
多元方法
质量和过程方法
可靠性和生存方法
消费者研究
Scripting Guide
JSL Syntax Reference
该帮助的版本不再更新,请参见
https://www.jmp.com/support/help/zh-cn/15.2
获取最新的版本.
质量和过程方法
•
控制图生成器
•
“控制图生成器”平台的统计详细信息
• 三因子图的控制限
上一个
•
下一个
三因子图的控制限
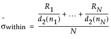
组内 Sigma
三因子图的组内 sigma 估计值使用极差的平均值估计,所以它仅适用于“基于均值的单值”、“基于均值的移动极差”和 R 图。
该公式使用以下符号:
R
i
= 第
i
个子组的极差
n
i
= 第
i
个子组的样本大小
d
2
(
n
i
) = 服从单位标准差正态分布的
n
i
个自变量的极差期望值
N
=
的子组数
组间 Sigma
使用子组均值的移动极差估计三因子图的组间 sigma 估计值。
该公式使用以下符号:
MR
= 非缺失移动极差的均值,计算方式为 (
MR
2
+
MR
3
+...+
MR
N
)/(
N-1)
,其中,
MR
i
= |y
i
- y
i-1
|
。
d
2
(2) = 服从单位标准差正态分布的两个自变量的极差期望值。
,子组样本大小的调和均值。
注意:
若组间 Sigma 估计为负值,则它设置为 0。
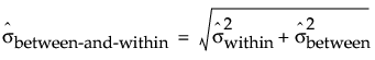
组间和组内 Sigma
使用组内 sigma 与组间 sigma 估计值的组合来估计三因子图的组间和组内 sigma 估计值。