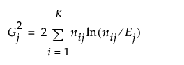
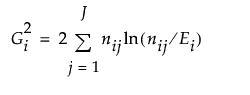
nij 是组 j 中的原因 i 的计数。
Ej 是组 j 的期望计数。这是每个组跨不同原因的均值计数。
Ei 是原因 i 的期望计数。这是每个原因跨不同组的均值计数。