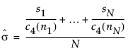
使用 σ 表示过程的标准差。“过程能力”平台提供了两种类型的能力指标。Ppk 指标基于 σ 的估计值,它以不依赖于子组的方式使用所有数据。这一总估计值可能会反映特殊原因以及普通原因变异。Cpk 指标基于试图仅捕获普通原因变异的估计值。Cpk 指标使用 σ 的子组内或组间和组内子组估计值来构造。这样,它们试图反映真实的过程标准差。若过程不稳定,σ 的不同估计值会有明显差异。
总 sigma 不依赖于子组。JMP 计算 σ 的总估计值方法如下:
N = 整个数据集中的非缺失值个数
基于子组内变异的 σ 的估计值可通过以下三种方式之一构造:
若您在启动窗口中指定了子组 ID 列或常数子组大小,则可以指定首选子组内变异统计量。请参见启动“过程能力”平台。若不指定子组 ID 列、常数子组大小或历史 sigma,JMP 将使用第三种方法(大小为 2 的子组的移动极差)估计组内 sigma。
N =
的子组数
的子组数N =
的子组数
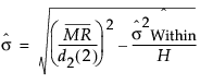
的子组数通过移动极差估计的组内 sigma 与“单个测量值”和“移动极差”图的标准差的估计值相同:
d2(2) = 服从单位标准差正态分布的两个自变量的极差期望值。
基于子组间变异的 σ 的估计值通过子组均值的移动极差来估计:
d2(2) = 服从单位标准差正态分布的两个自变量的极差期望值。

= = 整个数据集中的非缺失值的均值




