LSL = 下规格限
USL = 上规格限
T = 目标值
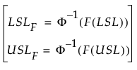
用 F 表示具有下规格限 (LSL) 和上规格限 (USL) 的某个过程变量的拟合分布。将等效的标准正态规格限定义如下:
注意:对于很符合要求的数据,F(LSL) 或 F(USL) 可能相应地非常接近 0 或 1,以致于无法计算 LSLF 或 USLF。在这些情况下,JMP 默认情况下会从“Z 得分”方法自动切换为“百分位数”方法。这会提供更富有意义的能力指标。要禁用该默认设置,请选择“文件”>“首选项”>“平台”>“过程能力”。









