|
1.
|
|
2.
|
选择分析 > 质量和过程 > 控制图 > 均值。
|
|
3.
|
|
4.
|
|
5.
|
|
6.
|
|
7.
|
点击确定。
|
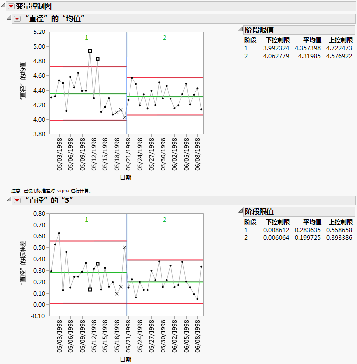
图 4.28 阶段控制图
