JMP 14.2 联机文档
发现 JMP
使用 JMP
基本分析
基本绘图
刻画器指南
实验设计指南
拟合线性模型
预测和专业建模
多元方法
质量和过程方法
可靠性和生存方法
消费者研究
Scripting Guide
JSL Syntax Reference
质量和过程方法
•
Shewhart 控制图
•
“控制图”平台的统计详细信息
• UWMA 图的控制限
上一个
•
下一个
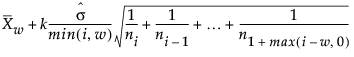
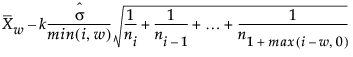
UWMA 图的控制限
每个子组
i
的 UWMA 图的控制限计算如下:
下控制限
i
=
上控制限
i
=
其中:
w
是跨度参数(移动平均值中的项数)
n
i
是第
i
个子组的样本大小
k
是标准差的数目
X̅
w
是子组均值的加权平均值
是估计的过程标准差