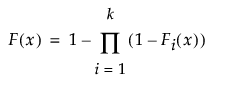
竞争风险混合概率分布函数 F(x) 定义如下:
其中,Fi(x) 表示第 i 个风险的累积失效分布,k 是混合模型中成分(风险)的数目。“拟合竞争风险混合模型”选项尝试标识从每个成分分布 Fi(x) 中抽取的观测聚类。它估计混合模型的参数以及从任意给定成分中抽取观测的概率。
“竞争风险混合模型”报表的结构类似于“混合模型”报表。请参见混合。 不过,“拟合竞争风险混合模型”报表不显示“密度叠加”图,而是显示“分布叠加”图。
