|
1.
|
|
2.
|
|
3.
|
|
4.
|
|
5.
|
将似然选作“置信区间方法”。
|
|
6.
|
选择允许失效模式使用固定参数模型。
|
|
7.
|
点击确定。
|
图 3.23 忽略了“原因 1”的固定参数模型
|
9.
|
|
10.
|
选择 Weibull beta 并键入 2。
|
|
11.
|
点击更新。
|
图 3.24 指定了 Weibull Beta 的固定参数模型
在“参数估计值 - Weibull”报表中,假定 β 等于 2,alpha 参数估计为 22463.391。现在您可以将其用于“原因=1”的失效分布。
|
13.
|
为“原因 1”取消选择忽略。
|
|
14.
|
对于“原因 1”的分布,选择固定参数的 Weibull 分布。
|
|
15.
|
点击更新模型。
|
图 3.25 显示“原因 1”的更新模型
为某个原因指定 Bayes 模型的步骤类似于将固定参数模型指定为原因的分布中所述的步骤。 在所需的“Bayes 估计”报表中定义该模型,该报表位于针对单个原因的“寿命分布”报表的“统计学”下方的相应“参数估计值”分级显示项中。请参见Bayes 估计 - <分布名称>。
要将 Bayes 模型并入聚合模型,其他原因的非 Bayes 分布必须能接受基于模拟的框架的处理。例如,假定某个模型具有两个失效原因。一个原因使用 Weibull 分布建模,另一个使用 Bayes 方法来估计第二个 Weibull 分布的参数。第一个 Weibull 分布的参数(由向量 θ1 表示)使用最大似然来估计。第二个 Weibull 分布的参数 θ2, 使用 Bayes 方法来估计。
|
•
|
|
•
|
值
用于获取聚合分布的分位数和中位数的估计值。这些值是在给定的 x 值处显示在“分布刻画器”中的值。 |
为某个原因指定 Weibayes 模型的步骤类似于将固定参数模型指定为原因的分布中所述的步骤。 在针对该原因的“寿命分布”报表中的“统计学”下方的“参数估计值 - Weibull”分级显示项中,选择“固定参数”选项。在“固定参数”报表中,选中“Weibayes”选项。Weibayes 模型被视为 Bayes 模型,并且从参数 alpha 的后验分布中抽取 Bootstrap 样本。请参见 Liu and Wang (2013)。
要计算置信区间,需要从 MLE 的渐近分布或使用 Bayes 推论推导出的后验分布中抽取 n 个参数估计值样本。对于每个参数值样本,都形成一个聚合分布,从中抽取 m 个样本来计算剩余寿命均值。使用 n 个剩余寿命均值的样本来构造置信区间。
|
‒
|
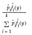
若观测 y 未删失,保存值则由以下公式计算得出:
|

是与原因对应的单个失效分布。置信限是现成的,因为所有涉及的估计值都是 MLE。


)的分位数和中位数通过如下方式来获取:
的渐近分布的随机样本。 将来自
的渐近分布的抽样值表示为
。
。
和
的每一组值,获取
的估计值(表示为
)。
用于获取聚合分布的分位数和中位数的估计值。这些值是在给定的
是混合比例
是估计概率分布函数
是 
用于右删失
用于左删失
用于区间删失