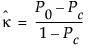
查看作为 n 个对象的两个独立评级的两个响应变量时,当评级员具有完全一致性时,Kappa 系数等于 +1。当观测到的一致性超过机会一致性时,Kappa 系数为正,其量值反映了一致性的强度。尽管不常见,当观测到的一致性小于机会一致性时,Kappa 为负数。Kappa 的最小值介于 -1 到 0 之间,取决于边缘比例。
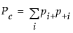
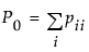
Kappa 系数计算如下:
其中
,
请注意,
是第
个单元格中的对象的比例,所以
。
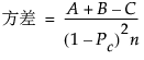
按以下方式估计简单 kappa 系数的渐近方差:
其中
,
,

请参见 Cohen (1960) 和 Fleiss et al.(1969)。
对于 Bowker 对称性检验,原假设为 2x2 表中的概率满足对称性 (pij=pji)。