Bootstrapping 的统计详细信息
计算分式权重“分式权重”选项基于 Bayes Bootstrap (Rubin 1981)。某个观测出现在给定 bootstrap 样本中的次数被称为它的 bootstrap 权重。在简单 bootstrap 中,每个 bootstrap 样本的 bootstrap 权重都使用有放回的简单随机抽样确定。
在 Bayes 方法中,抽样概率被视为未知参数,使用非信息性先验获取其后验分布。通过从这一后验分布抽样来获取概率估计值。这些估计值用于构造 bootstrap 权重,如下所示:
• 从形状参数等于 (n - 1)/n 且尺度参数等于 1 的 gamma 分布随机生成 n 个值的向量。
注意:Rubin (1981) 将 1 用作 gamma 形状参数。JMP Pro 中使用的形状参数可确保分式权重的均值和方差等于简单 bootstrap 权重的均值和方差。
• 将 S 计算为 n 个值的总和。
• 通过将 n 个值的向量乘以 N / S 计算分式权重,其中 N 等于行数或频数总和(若指定了“频数”变量)。
注意:若为分析指定了“频数”变量,则逐行将 gamma 分布的形状参数乘以“频数”值。频数变量的值的总和必须大于 1。因此,形状参数等于 fi(N - 1)/N,其中 fi 是第 i 行的“频数”值,N 等于“频数”值总和。
该过程调整每行的分式权重的尺度,使其 bootstrap 抽样的均值和方差等于简单 bootstrap 权重的均值和方差。每个 bootstrap 样本中的分式 bootstrap 权重为正数,加总为 N,均值为 1。
修正偏倚的百分位数区间本节说明当您运行“Bootstrap 结果”表中的“分布”脚本时,如何计算出现在“Bootstrap 置信限”报表中的修正偏倚的 (BC) 置信区间。修正偏倚的百分位数区间改进了百分位数区间在解释 bootstrap 分布的不对称性方面的能力。请参见 Efron (1981)。
• p* 是相关统计量的估计值小于等于原始估计值的 bootstrap 样本的比例。
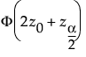
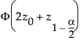
• z0 是标准正态分布的 p* 分位数。
• zα 是标准正态分布的 α 分位数。
(1 - α) 修正偏倚的置信区间的端点由 bootstrap 分布的分位数提供:
• 下端点是以下分位数:

• 上端点是以下分位数:

Bootstrapping 在以下统计平台中提供:
• 提升树
• Bootstrap 森林法
• 分类
• 破坏性退化
• 判别
• 分布
• 拟合曲线
• 以 X 拟合寿命
• 拟合参数生存
• 拟合比例风险
• 以 X 拟合 Y
• 广义线性模型
• 广义回归
• 寿命分布
• Logistic
• 对数线性方差
• 多重对应分析
• 多元
• 神经
• 非线性
• 参数生存
• 偏最小二乘
• 分割
• 主成分
• 比例风险
• 标准最小二乘法
• 生存
• 提升