多元方法
>
判别分析
>
“判别分析”平台的统计详细信息
> 组间协方差矩阵
发布日期: 08/07/2020
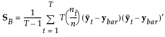
组间协方差矩阵
使用
“保存公式”选项给出的公式符号
中的符号,按以下方式定义该矩阵:
需要更多信息?有问题?从 JMP 用户社区得到解答
(community.jmp.com)
.
本网站在启用 JavaScript 的情况下效果最佳。