发布日期: 08/07/2020

缺失目标的过程的能力箱线图

无目标的列可同时具有上下规格限,或仅有一个规格限。本节使用用于目标图和能力箱线图的符号中定义的符号。

两个规格限且无目标

若没有为第 j 列指定目标,能力箱线图将基于变换观测的以下值:

单个规格限且无目标

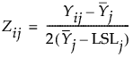
假定仅指定了下规格限。(与仅指定上规格限的情况相似。)

若没有为第 j 列指定目标,能力箱线图将基于变换观测的以下值:

注意:若某列仅有一个规格限且没有目标值,而且样本均值落在规格区间之外,则不标绘该列的能力箱线图。

需要更多信息?有问题?从 JMP 用户社区得到解答 (community.jmp.com).