多元方法
>
多重对应分析
>
“多重对应分析”平台的统计详细信息
> Cochran Q 统计量
发布日期: 08/07/2020
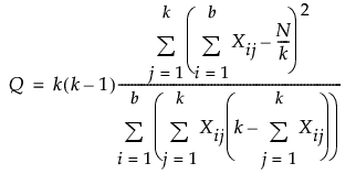
Cochran
Q
统计量
Cochran
Q
检验统计量计算如下:
其中
K
是处理数
b
是区组数
X
ij
是第
k
个处理的第
i
个对象的响应(0 或 1)
N
是所有对象和处理的正值响应的总计
需要更多信息?有问题?从 JMP 用户社区得到解答
(community.jmp.com)
.
本网站在启用 JavaScript 的情况下效果最佳。