发布日期: 08/07/2020

竞争原因模型

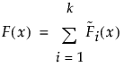
在竞争原因情形下,聚合失效函数可以表示为:

其中,Fi(x) 是第 i 个原因的累积失效分布,k 是总原因数。函数 Fi(x) 特定于原因。它反映单单由于原因 i 而引起的失效的概率,并不解释其他失效原因。

备选公式如下所示:

其中,每个 都是一个单调递增函数,函数值介于 [0, 1] 的区间内。函数 称为子分布。这种形式的聚合失效分布用于预测与单个原因关联的失效比例,考虑因其他原因导致的失效。

需要更多信息?有问题?从 JMP 用户社区得到解答 (community.jmp.com).