发布日期: 08/07/2020

P 图和 NP 图的控制限

下控制限 (LCL) 和上控制限 (UCL) 分别计算如下:

P 图下控制限 =

P 图上控制限 =

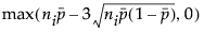
NP 图下控制限 =

NP 图上控制限 =

其中:

是从各个子组中抽取的不合格项的平均比例

ni 是第 i 个子组中的项数

需要更多信息?有问题?从 JMP 用户社区得到解答 (community.jmp.com).