考虑包含 n 个观测和 p - 1 个预测变量的数据集。定义矩阵 X 为设计矩阵。即:X 是 n x p 矩阵,其中的第一列包含 1,其余 p - 1 列包含 p - 1 个预测变量值。(名义型列按照指标预测变量来编码。每一列都是矩阵 X 中的一列。)
回归系数的向量的估计值为

其中,Y 表示响应值的向量。
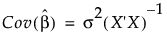
在通常的回归假设下,
的协方差矩阵为

其中,σ2 表示响应的方差。
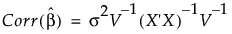
通过将协方差矩阵中的每个元素除以对角线元素平方根的乘积,可获得估计值的相关性矩阵。将 V 定义为对角矩阵,其元素是协方差矩阵对角线元素的平方根:

于是参数估计值的相关性矩阵可通过以下公式得出:
