用于量度的公式计算覆盖率和多样性的公式取决于是否存在约束。将使用以下符号:
uCv 是从 u 个元素中一次选取 v 个元素的所有组合数
t 是设计的强度
K 是因子数
M = KCt
i = 1, 2, ..., M 是对 t 个因子的所有组合(或投影)进行排序的索引
vik 是第 k 个因子的水平数
ni 是设计中针对第 i 个投影的非重复 t 元组数
pi 是第 i 个投影中的因子的 vik 乘积
r 是设计中的试验次数
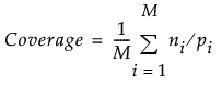
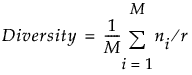
无约束设计覆盖率和多样性分别用以下公式计算:


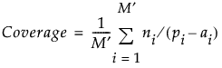
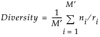
受约束设计在受约束设计中,不允许某些特定的 t 元组。这可能导致某些 t 元组缺失值。对于 t 个因子的某些组合,可能根本不存在有效的 t 元组。覆盖率和多样性必须按照可能的有效组合来定义。因此,受约束设计的公式需要使用其他符号:
ai 是因第 i 个投影中的因子产生的无效 t 元组数
m 是不存在有效 t 元组的投影数
qi 是设计中包含第 i 个投影中的任何因子的缺失值的试验次数
ri = r - qi
M ¢ = M - m
覆盖率和多样性分别用以下公式计算:


若不存在无效 t 元组 (M¢ = M) 且不存在缺失值(对所有 i 均为 ri = r),则受约束设计的覆盖率和多样性定义可简化为无约束设计的定义。请参见 Morgan (2014)。