发布日期: 08/07/2020

Lenth 伪标准误差

Lenth 的方法 (Lenth, 1989) 称为 Lenth 伪标准误差 (PSE),它使用看起来不活跃的效应构造残差标准误差的估计值。Lenth 的 PSE 可用于估计以下实验的标准误差:对比是独立的且具有公共方差。

若有 n 行,则平台构造 n - 1 个对比。用 表示这些对比,其中 i = 1, ... , n - 1

要获得 Lenth PSE,请首先计算以下项:

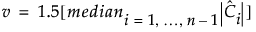
Lenth PSE 基于可能不活跃的效应,定义如下:

Lenth PSE 的值显示在筛选报表底部。

需要更多信息?有问题?从 JMP 用户社区得到解答 (community.jmp.com).