用 Y = (Y1, Y2, ..., Yn) 表示 n 个响应的向量。用以下属性定义非线性模型:
• Yi 是独立的,是具有指数系列分布的相同分布。
• 每个 Yi 的期望值(给定预测变量值的一个变量 xi)是参数 q 的非线性函数。该函数表示如下:

• 按以下方式表示每个 Yi:

• 误差向量 e = (e1, e2, ..., en)‘ 具有均值 0 和协方差矩阵 s2I,其中 I 是 n x n 单位矩阵。
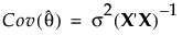
使用 X 表示关于参数 q 的函数 f 的一阶偏导矩阵。在一般情况下,q 的最小二乘估计量是渐近无偏倚的,给出的渐近协方差矩阵如下:
