对于 Spearman、Kendall 或 Hoeffding 相关性,数据首先要进行秩排序。随后根据数据值的秩执行计算。若存在结值,则使用平均秩。
注意:当指定了“权重”变量时,缺失值和零值权重会从非参数相关性计算中排除。所有其他权重值均视为 1。
使用上述 Pearson 相关性公式基于数据的秩计算 Spearman ρ 相关系数。
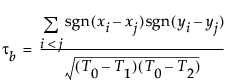
Kendall τb 系数基于一致对和不一致对的数目。若两个变量所对应的一对行对于哪一个变量较大这一点上保持一致,则认为这一对行一致。否则这一对行不一致或为同分对。
公式

计算 Kendall τb,其中:

请注意以下事项:
• 若 z>0,则 sgn(z) 等于 1;若 z=0,则 sgn(z) 等于 0;若 z<0,则 sgn(z) 等于 -1。
• ti (ui) 是第 i 组 x (y) 结值中的 x (y) 结值的数目。
• n 是观测数。
• Kendall τb 的取值范围为 –1 到 1。若指定了权重变量,则忽略该统计量。
按照以下方式执行计算:
• 根据第一个变量的值对观测进行秩排序。
• 然后根据第二个变量的值对观测重新进行秩排序。
• 第一个变量的交换次数用于计算 Kendall τb。
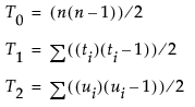
Hoeffding D (1948) 的公式如下

其中:

请注意以下事项:
• Ri 和 Si 分别是 x 值和 y 值的秩。
• Qi(有时称为二元秩)是 1 加上 x 值和 y 值均小于第 i 个点的点数。
• 在其 x 值或 y 值上有结值的点(而不是这两个值上同时具有结值的点)为 Qi 贡献了 1/2(若其他值小于第 i 个点的相应值)。同时在 x 和 y 上有结值的点为 Qi 贡献了 1/4。
若观测中没有结值,D 统计量的值介于 –0.5 和 1 之间,其中 1 指示完全依赖。若指定了权重变量,则忽略该统计量。