基本分析
>
分布
>
“分布”平台的统计详细信息
> 正态分位数
发布日期: 08/07/2020
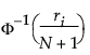
正态分位数
正态分位数值计算如下:
其中:
Φ
是正态分布的累积概率分布函数。
r
i
是第
i
个观测的秩。
r
是非缺失观测数。
需要更多信息?有问题?从 JMP 用户社区得到解答
(community.jmp.com)
.
本网站在启用 JavaScript 的情况下效果最佳。