发布日期: 08/07/2020

Pearson 乘积矩相关系数

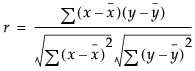
Pearson 乘积矩相关系数测量两个变量之间线性关系的强度。对于响应变量 X Y,该系数表示为 r,计算公式如下所示:

若两个变量之间存在精确线性关系,则相关系数为 1 或 –1,具体取决于变量之间是正相关还是负相关。若不存在线性关系,则相关系数趋向于 0。

需要更多信息?有问题?从 JMP 用户社区得到解答 (community.jmp.com).