本节包含有关“能力分析”报表中统计信息的计算的详细信息。
所有能力分析都使用相同的公式。选项之间的区别在于如何计算 sigma (s):
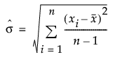
长期 Sigma
使用总 Sigma。该选项用于 Ppk 统计量,sigma 计算如下:

注意:默认情况下,“长期 Sigma”报表中的能力指标使用其他 Sigma 报表中使用的 Cp 标签。要使用“长期 Sigma”报表中的 Ppk 标签,请选择文件 > 首选项 > 平台 > 分布 > 添加 PpK 能力标签首选项。
控制图 Sigma
使用由控制图设置确定的 sigma。
‒ 若使用控制启动窗口中的“指定统计量”按钮指定 Sigma 的值,则指定的值将用于计算能力指标。