本讨论采纳 Sullivan and Woodall (2000) 方法。
用 Np(mi,Si) 表示均值向量为 mi、协方差矩阵为 Si 的 p 维多元分布。假定 xi 是来自这类分布的 m(其中 m > p)个独立观测。

若过程是稳定的,则表示 mi 和协方差矩阵 Si 等于一个公值,使 xi 服从 Np(m, S) 分布。
假定 m1 和 m1+1 个观测之间的均值向量和/或协方差矩阵中出现单个变化,则以下条件成立:
• 观测 1 到 m1 具有相同的均值向量和相同的协方差矩阵 (ma,Sa)。
• 观测 m1 + 1 到 m 具有相同的均值向量和相同的协方差矩阵 (mb,Sb)。
• 出现以下之一:
‒ 若变化影响均值,ma ¹ mb。
‒ 若变化影响协方差矩阵,Sa ¹ Sb。
‒ 若变化同时影响均值和协方差矩阵,ma ¹ mb 且 Sa ¹ Sb。
似然比检验方法用于确定均值向量和协方差矩阵中的一个还是两者均发生变化。使用似然比检验统计量来计算近似上控制限为 1 的控制图统计量。为所有可能的 m1 值标绘该控制图统计量。若任何观测的控制图统计量超过上控制限 1,这表示发生了偏移。假定正好有一个偏移,该偏移被视为紧跟在具有最大控制图统计量值的观测之后。
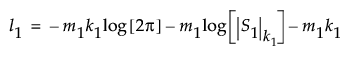
按以下方式给出前 m1 个观测的对数似然函数两倍的最大值:

l1 的等式使用以下符号:
• S1 是前 m1 个观测的协方差矩阵的最大似然估计值。
• k1 = Min[p,m1-1] 是 p x p 矩阵 S1 的秩。
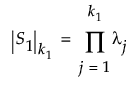
• 符号
表示矩阵 S1 的广义行列式,将该值定义为 k1 个正特征值 lj 的积:

当 S1 具有满秩时,广义行列式等于普通行列式。
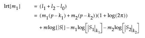
用 l2 表示后面 m2 = m - m1 个观测的对数似然函数两倍的最大值,用 l0 表示所有 m 个观测的对数似然函数两倍的最大值。指定 l2 和 l0 所用的表达式类似于 l1 的表达式。
似然比检验统计量将 l1 + l2 的和与 l0 进行比较。l1 + l2 的和是该对数似然的两倍,后者假定 m1 处可能有偏移。值 l0 是假定无偏移的对数似然的两倍。若 l0 远小于 l1 + l2,则假定过程是不稳定的。
按以下方式计算似然比检验统计量,它检验某个变化是否在观测 m1 + 1 处开始:

似然比检验统计量服从自由度为 p(p + 3)/2 的渐近卡方分布。对数似然比值大指示过程是不稳定的。
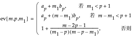
模拟结果表明 lrt[m1] 的期望值随观测在序列中的位置而变化,特别取决于 p 和 m。请参见 Sullivan and Woodall (2000)。
lrt[m1] 期望值的近似公式从模拟推导而来。为了降低期望值与 p 的相关性,用 lrt[m1] 除以其渐近期望值 p(p + 3)/2。
以下是 lrt[m1] 的近似期望值除以 p(p+3)/2 的公式:

其中

并且

对于 p = 2,当 m1 或 m2 = 2 时,ev[m,p,m1] 的值为 1.3505。
注意:上述公式对于 p > 12 或 m < (2p + 4) 是不准确的。在这些情况中,应使用模拟来获取近似期望值。
按以下方式给出一个近似上控制限,在假定过程是稳定时,该控制限对应产生假的失控信号的概率大约为 0.05:


请注意,该公式依赖于 m 和 p。
将控制图统计量定义为似然比检验统计量对数的两倍除以 p(p + 3)、除以其近似期望值以及控制限的近似值。因为除以上控制限的近似值,因此可以针对上控制限 1 标绘控制图统计量。按以下方式给出近似控制图统计量:
