拟合线性模型
>
广义回归模型
>
“广义回归”特质的统计详细信息
> 分布的统计详细信息
发布日期: 08/07/2020
分布的统计详细信息
下面根据模型拟合中使用的参数给出了按“广义回归”特质拟合的分布。尽管没有专门在说明中指出,但是“广义回归”特质允许您对离散分布指定非整数值。
连续分布
正态分布
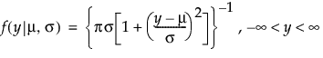
Cauchy 分布
指数分布
Gamma 分布
Weibull 分布
对数正态分布
Beta 分布
离散分布
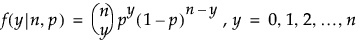
二项分布
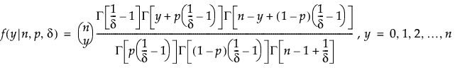
Beta 二项分布
Poisson 分布
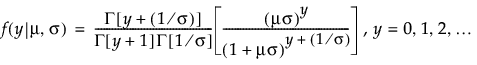
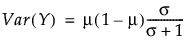
负二项分布
零泛滥分布
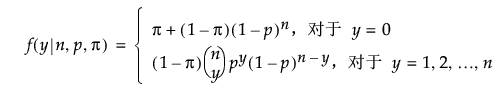
零泛滥二项分布
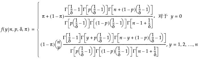
零泛滥 Beta 二项分布
零泛滥 Poisson 分布
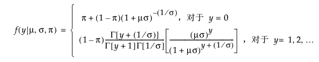
零泛滥负二项分布
零泛滥 Gamma 分布
需要更多信息?有问题?从 JMP 用户社区得到解答
(community.jmp.com)
.
本网站在启用 JavaScript 的情况下效果最佳。