估计方法的统计详细信息惩罚回归方法通过赋予回归系数罚值引入了偏倚。
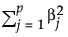
岭回归在岭回归期间,回归系数应用了 l2 罚值。按以下公式给出岭回归系数的估计值:
,
其中,
是 l2 罚值,λ 是调节参数,N 是行数,p 是变量数。
Dantzig 选择器在 Dantzig 选择器计算期间,回归系数应用了 l∞ 罚值。Dantzig 选择器的系数估计值满足以下准则:

其中,
表示 l∞ 范数,该范数是向量 v 的分量的最大绝对值。
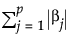
Lasso 回归在 Lasso 期间,回归系数应用了 l1 罚值。按以下公式给出 Lasso 的系数估计值:
,
其中,
是 l1 罚值,λ 是调节参数,N 是行数,p 是变量数
弹性网络弹性网络组合 l1 和 l2 罚值。按以下公式给出弹性网络的系数估计值:
,
该等式中使用的符号如下所示:
•
是 l1 罚值
•
是 l2 罚值
• λ 是调节参数
• α 是一个参数,用于确定 l1 和 l2 罚值的组合值
• N 是行数
• p 是变量数
提示:有两个样本脚本,这两个脚本演示变动单个预测变量的弹性网络中的 α 和 λ 的收缩影响。选择帮助 > 样本数据,点击打开样本脚本目录,然后选择 demoElasticNetAlphaLambda.jsl 或 demoElasticNetAlphaLambda2.jsl。每个脚本都包含关于使用方法和演示内容的说明。
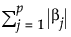
自适应方法自适应 Lasso 方法使用加权罚值来提供一致的系数估计值。l1 罚值的加权形式为
,
其中,若 MLE 存在,则
是 MLE。若 MLE 不存在并且响应分布为正态分布,则使用最小二乘法进行估计,而
是使用广义逆矩阵求得的解。若响应分布非正态分布,则
是岭解。
对于自适应 Lasso,这个加权形式的 l1 罚值用于确定
系数。
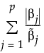
自适应弹性网络使用这个加权形式的 l1 罚值,也应用 l2 罚值的加权形式。自适应弹性网络的 l2 罚值的加权形式为
,
其中,若 MLE 存在,则
是 MLE。若 MLE 不存在并且响应分布为正态分布,则使用最小二乘法进行估计,而
是使用广义逆矩阵求得的解。若响应分布非正态分布,则
是岭解。