JMP 用于计算功效的公式取决于“备择标准差”选项的设置。
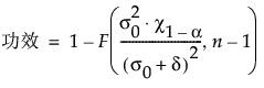
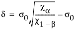
对于备择标准差更大的情形,JMP 按以下方式计算功效:


其中:
s0 是假设标准差。
s 是真正的标准差。
Cp 是 Cn-12 分布的第 (1 - p) 分位数。
F(x, n-1) 是在 x 处求值的 Cn-12 分布的累积分布函数。
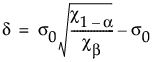
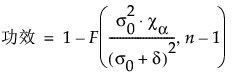
对于备择标准差更小的情形,JMP 按以下方式计算功效:


其中:
s0 是假设标准差。
s 是真正的标准差。
Cp 是 Cn-12 分布的第 (1 - p) 分位数。
F(x, n-1) 是在 x 处求值的 Cn-12 分布的累积分布函数。
使用数值方法对 n 求解。
有关 JMP 中计算的详细信息,请参见 Barker(2011,第 2.4 节)。