实验设计指南 > 前瞻样本大小与功效 > “Sigma 质量水平”计算器 > Sigma 质量计算器的统计详细信息
发布日期: 08/07/2020

Sigma 质量计算器的统计详细信息

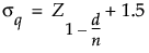
对于 n 次机会中的 d 个缺陷,sigma 质量计算器的计算基于 sigma 质量水平 sq 的定义:

从该定义中,可以按以下方式计算 dn

其中 F() 是标准正态累积分布函数,Z1-d/n 是标准正态分布的第 (1 - d/n) 分位数

需要更多信息?有问题?从 JMP 用户社区得到解答 (community.jmp.com).