双比例计算所基于的精确方法与用于单比例计算器的精确方法类似。对于双侧假设

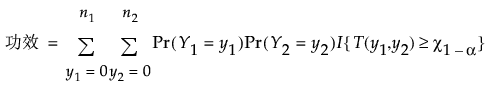
JMP 在原假设下按以下方式计算功效:

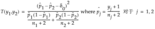
其中,按以下方式定义调整的 Wald 统计量:

并且:
其他情况则为 0
c1-α 是 c2 分布的第 (1 - a) 分位数。
因为没有 ni 或 d0 的近似表达式,使用数值方法求解 ni 和 d0 的值。
有关调整的 Wald 检验统计量的详细信息,请参见 Agresti and Coull (1998)。有关 JMP 中计算的详细信息,请参见 Barker(2011,第 3.3 节)。