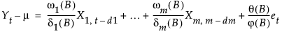
具有 m 个输入的典型转换函数模型可以表示为:

其中
Yt 表示输出序列
X1 到 Xm 表示 m 个输入序列
et 表示噪声序列
X1,t–d1 表示滞后 d1 期的 X1 序列(t 为时间索引)
μ 表示模型的均值水平
ϕ(B) 和 θ(B) 表示 ARIMA 模型的自回归和移动平均多项式
ωk(B) 和 δk(B) 表示单个转换函数的分子和分母因子(或多项式),k 表示从 1 到 m 的各个输入序列的索引。
以上模型中的每个多项式可以包含两个部分:非季节性、季节性或如季节性 ARIMA 中这两者之积。指定模型时,对于不想包含在模型中的任何部分保留默认值 0。