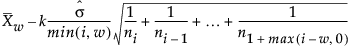
每个子组 i 的 UWMA 图的控制限计算如下:
下控制限i =
上控制限i =
其中:
w 是跨度参数(移动平均值中的项数)
ni 是第 i 个子组的样本大小
k 是标准差的数目
是子组均值的加权平均值
是估计的过程标准差
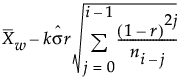
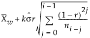
EWMA 图的控制限计算如下:
下控制限 =
上控制限 =
其中:
r 是 EWMA 权重参数 (0 < r £ 1)
xij 是第 i 个子组中的第 j 个测量值,其中 j = 1, 2, 3,..., ni
ni 是第 i 个子组的样本大小
k 是标准差的数目
是子组均值的加权平均值
是估计的过程标准差