时间序列基本诊断图中显示的信息取决于“时间序列报表”红色小三角菜单选项。显示或隐藏诊断图中信息的红色小三角菜单选项为“自相关性”、“偏自相关性”、“变差图”和“自回归系数”。默认情况下,显示“自相关性”和“偏自相关性”。
“自相关性”选项显示或隐藏时间序列基本诊断图中的以下列:
滞后
各点之间的期间数。
注意:滞后个数默认从 0 开始。要计算从滞后 1 期开始的相关性,请先修改 JMP 首选项,然后再生成图形。选择文件 > 首选项 > 平台 > 时间序列,然后选择>隐藏 ACF 和 PACF 中的滞后 0。
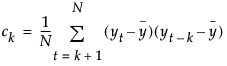
自相关性
第 k 个滞后的自相关性计算如下所示:
其中,
是时间序列中 N 个非缺失点的均值。按照定义,第一个自相关性(滞后 0)始终具有长度 1。
自相关图以条形图的形式来表示自相关系数的大小。蓝色曲线表示两倍的 Large-lag 标准误差(± 2 倍标准误差),其计算公式如下:

Ljung-Box Q
用于检验一组自相关性是否与零存在显著差异,或检验模型残差是否可以与白噪声区分。Q 是检验统计量。
p 值
Ljung-Box 检验的 p 值。
“偏自相关性”选项显示或隐藏时间序列基本诊断图中的以下列:
滞后
各点之间的期间数。
偏自相关性
第 k 个滞后期的偏自相关性。
这些条以图形方式来表示偏自相关性的大小。蓝线表示近似 95% 预测限的 ± 2 个标准误差,其中标准误差的计算方式如下:
(对于所有 k)
“变差图”选项显示或隐藏时间序列基本诊断图中的以下列:
滞后
各点之间的期间数。
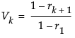
变差图
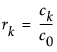
变差图测量相距 k 个滞后期的点差分的方差,并将它与相距 1 个滞后期的点差分的方差进行比较。变差图是从自相关性计算得到的,公式如下:

其中 rk 是滞后 k 的自相关性。
“自回归系数”选项显示或隐藏时间序列基本诊断图中的以下列:
滞后
各点之间的期间数。
自回归系数
这些系数近似于您从拟合高阶纯自回归模型获得的那些系数。