您可以创建支持超越函数的公式,这些函数包括以任意数为底的对数函数、用于组合计算的函数,Beta 函数和若干 gamma 函数等。有关语法的详细信息,请参见《Scripting Guide》中的Transcendental Functions。
对 e 进行指定的幂计算。例如,Exp(1) = e。
当 x 非常小时,返回计算更准确的 Exp(x) - 1。
计算 x 的自然对数。
计算自然对数(底数为 e)。要更改默认底数,请突出显示该参数并键入一个逗号或点击小键盘上的插入键。将显示可编辑的底数。Log 参数可以为任意数值表达式。表达式 Log(e) 的求值结果为 1,Log(32,2) 的求值结果为 5。Log10 函数仅计算底数为 10 的对数。
当 x 非常小时,返回计算更准确的 Log(1+x)。
计算函数 1 / (1 + ex),其中 x 为任意数值列、变量或表达式。
亦称 Squish 或 Logistic,是函数 1 / (1+e-x) 的高效计算,其中 x 为任意数值列、变量或表达式。
根据指数的指定计算参数的根。Root 初始显示指数 2。要更改指数,请突出显示指数参数并输入所需的值。
返回 1 到您指定的参数之间所有数的乘积。例如,Factorial(5) 求值结果为 120。
返回从 n 个元素中一次选取 k 个元素(n 个中选择 k 个)的所有组合数,按使用阶乘的标准方式计算:n! / (k!(n – k)!)。例如,NChooseK(5,2) 求值结果为 10。
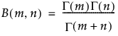
添加双参数 Beta 函数,用 Gamma 函数表示为:

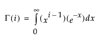
添加 Gamma 函数(记为 G(i)),定义为:

单参数的 Gamma 与 Gamma(x, infinity) 相同。可选的第二个参数将整数上限从无限大更改为您输入的值。其他相关 gamma 函数关系为:
• 对于任意 a > 1,G(a) = (a–1) • G(a–1)
• 对于任意正整数 n,G(n) = (n-1)!
• G(0.5) = p 的平方根
是 gamma 函数求值结果的自然对数。对 Gamma 函数进行 Log(自然对数)可以得到相同的结果。但是,LGamma 函数的计算效率比 Log(自然对数)和 Gamma 函数结合使用的效率高。使用 LGamma 函数实施 NChooseK。结果并不总是精确的整数。若结果接近某个整数,使用 Floor 函数将其舍入。
Gamma 函数的对数导数。
Digamma 函数的导数或 Gamma 函数的对数二阶导数。
计算 Arrhenius 关系的非特定成分,然后其与 Arrhenius 方程的活化能相乘。

Arrhenius 函数的反函数:

使用以下公式对参数应用 logit 变换:

以百分比形式计算参数的 logit。

以百分比形式计算参数的 Logistic。

在拟合某些模型时使用。Scheffe Cubic (X1, X2) 等效于 X1*X2*(X1-X2)。
Johnson Sb 逆变换。若参数正常,结果为 Johnson Sb。
从双界变量到标准正态 (0, 1) 分布的 Johnson-Sb 变换。
返回标准正态变量到 sinh-arcsinh (SHASH) 分布变量的变换。
返回 sinh-arcsinh (SHASH) 分布变量到标准正态分布变量的变换。
Johnson Sl 逆变换。若参数正常,结果为 Johnson Sl。
从双界变量到标准正态 (0, 1) 分布的 Johnson Sl 变换。
Johnson Su 逆变换。若参数正常,结果为 Johnson Su。
从双界变量到标准正态 (0, 1) 分布的 Johnson Su 变换。