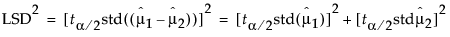
One approach to comparing two means is to determine whether their actual difference is greater than their least significant difference (LSD). This least significant difference is a Student’s t-statistic multiplied by the standard error of the difference of the two means and is written as follows:
These squared values form a Pythagorean relationship, illustrated graphically by the right triangle shown in Relationship of the Difference between Two Means.
Geometric Relationship of t-test Statistics
|
•
|
If the circles intersect so that the outside angle is greater than a right angle, then the means are not significantly different. If the circles intersect so that the outside angle is less than a right angle, then the means are significantly different. An outside angle of less than 90 degrees indicates that the means are farther apart than the least significant difference.
|
|
•
|





.