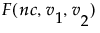
To compute power, you make use of the noncentral F distribution. The formula (O’Brien and Lohr 1984) is given as follows:
|
•
|
F is distributed as the noncentral
and is the 1 - α quantile of the F distribution with ν1 and ν2 degrees of freedom. |
|
•
|
|
•
|
|
•
|
n is the number per group.
|
|
•
|
r is the number of groups.
|
|
•
|
|
•
|
|
•
|
μ is the overall mean.
|
|
•
|
σ2 is estimated by the mean squared error (MSE).
|
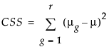
and 
is the corrected sum of squares.