JMP 13.2 Online Documentation (English)
Discovering JMP
Using JMP
Basic Analysis
Essential Graphing
Profilers
Design of Experiments Guide
Fitting Linear Models
Predictive and Specialized Modeling
Multivariate Methods
Quality and Process Methods
Reliability and Survival Methods
Consumer Research
Scripting Guide
JSL Syntax Reference
JMP iPad Help
JMP Interactive HTML
Capabilities Index
JMP 12 Online Documentation
Quality and Process Methods
•
Control Chart Builder
•
Statistical Details for the Control Chart Builder Platform
• Control Limits for p- and np-charts
Previous
•
Next
Control Limits for p- and np-charts
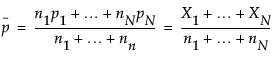
The lower and upper control limits, LCL, and UCL, respectively, are computed as:
p-chart LCL =
p-chart UCL =
np-chart LCL =
np-chart UCL =
where:
p
is the average proportion of nonconforming items taken across subgroups
n
i
is the number of items in the
i
th
subgroup
Previous
•
Next
Help created on 9/19/2017