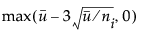
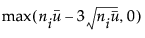
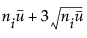
ui is the number of nonconformities per unit in the ith subgroup. In general, ui = ci/ni.
ci is the total number of nonconformities in the ith subgroup
ni is the number of inspection units in the ith subgroup
u is the average number of nonconformities per unit taken across subgroups. The quantity u is computed as a weighted average
N is the number of subgroups

Help created on 9/19/2017