Levey-Jennings charts show a process mean with control limits based on a long-term sigma. The control limits are placed at 3s distance from the center line.
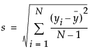
The standard deviation, s, for the Levey-Jennings chart is calculated the same way standard deviation is in the Distribution platform.
