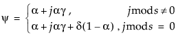
α is the level smoothing weight
γ is the trend smoothing weight
ϕ is the trend damping weight
δ is the seasonal smoothing weight
The smoothing equation, Lt = αyt + (1 – α)Lt-1, is defined in terms of a single smoothing weight α. This model is equivalent to an ARIMA(0, 1, 1) model where the following is true:
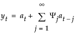
The smoothing equations, defined in terms of a single smoothing weight α, are defined as follows:
This model is equivalent to an ARIMA(0, 1, 1)(0, 1, 1)1 model where the following is true:
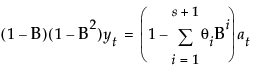
This model is equivalent to a seasonal ARIMA(0, 1, s+1)(0, 1, 0)s model defined as follows:

is the time-varying slope term
is one of the s time-varying seasonal terms
are the random shocks
and nonseasonal models have
. The estimators for these time-varying terms are defined as follows:
is a smoothed level that estimates
is a smoothed trend that estimates
for
are the estimates of the 
.
where 

.

where
with 

.

with
and 

.





.





where 
.




