Launch the CUSUM Control Chart platform by selecting Analyze > Quality And Process > Control Chart > CUSUM.
Specify a variable whose values label the horizontal axis and can also identify unequal subgroup sizes. If no sample label variable is specified, the samples are identified by their subgroup sample number. See Sample Label in Shewhart Control Charts.
Specifies control limits in terms of a multiple of the sample standard error. Enter the K Sigma value in the box that appears below H. Control limits are specified at k sample standard errors above and below the expected value, which shows as the shift. See KSigma in Shewhart Control Charts.
H is the vertical distance h between the origin for the V-mask and the upper or lower arm of the V-mask for a two-sided chart (for an illustration, see V-Mask for a Two-Sided CUSUM Chart). For a one-sided chart, H is the decision interval. Choose H as a multiple of the standard error.
|
–
|
Target is the target mean (goal) for the process or population. The target mean must be scaled in the same units as the data.
|
|
–
|
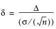
Delta specifies the absolute value of the smallest shift to be detected as a multiple of the process standard deviation or of the standard error. This depends on whether the shift is viewed as a shift in the population mean or as a shift in the sampling distribution of the subgroup mean, respectively. Delta is an alternative to the Shift option (described next). The relationship between Shift and Delta can be computed as follows:
|
where δ represents Delta, Δ represents the shift, σ represents the process standard deviation, and n is the (common) subgroup sample size.
|
–
|
Shift is the minimum value that you want to detect on either side of the target mean. You enter the shift value in the same units as the data, and you interpret it as a shift in the mean of the sampling distribution of the subgroup mean. You can choose either Shift or Delta.
|
|
–
|
Sigma specifies a known standard deviation, σ0, for the process standard deviation, σ. By default, the Control Chart platform estimates sigma from the data.
|
|
–
|
Head Start specifies an initial value for the cumulative sum, S0, for a one-sided CUSUM chart (S0 is usually zero). Enter the Head Start value as a multiple of standard error.
|
Uses previously established limits that exist in a JMP data table. See Saving and Retrieving Limits in Shewhart Control Charts.
Measures the conformance of a process to given specification limits. Once you click OK in the launch window, if you have not already defined these as a column property, you are prompted to enter specification limits and a target. See Capability Analysis the Basic Analysis book.

