A random effect model is a model all of whose factors represent random effects. (See Random Effects.) Such models are also called variance component models. Random effect models are often hierarchical models. A model that contains both fixed and random effects is called a mixed model. Repeated measures and split-plot models are special cases of mixed models. Often the term mixed model is used to subsume random effect models.
To fit a mixed model, you must specify the random effects in the Fit Model launch window. However, if all of your model effects are random, you can also fit your model in the Variability / Attribute Gauge Chart platform. Only certain models can be fit in this platform. Note that the fitting methods used in the Variability / Attribute Gauge Chart platform do not allow variance component estimates to be negative. For details about how the Variability / Attribute Gauge Chart platform fits variance components models, see Variability Gauge Charts and Attribute Gauge Charts in the Quality and Process Methods book.
A random effect is a factor whose levels are considered a random sample from some population. Often, the precise levels of the random effect are not of interest, rather it is the variation reflected by the levels that is of interest (the variance components). However, there are also situations where you want to predict the response for a given level of the random effect. Technically, a random effect is considered to have a normal distribution with mean zero and nonzero variance.
|
•
|
|
•
|
|
•
|
|
•
|
|
•
|
|
•
|
|
•
|
|
•
|
|
•
|
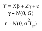
γ and ε are independent
|
The diagonal elements of G, as well as σ2, are called variance components. These variance components, together with the vector of fixed effects β and the vector of random effects γ, are the model parameters that must be estimated.
The covariance structure for this model is sometimes called the variance component structure (SAS/STAT 9.2 User’s Guide, 2008, p. 3955). This covariance structure is the only one available in the Standard Least Squares personality.
The Mixed Model personality fits a variety of covariance structures, including Residual, First-order Autoregressive (or AR(1)), Unstructured, and Spatial. See Repeated Structure Tab in Mixed Models for more information.|
•
|
REML, which stands for restricted maximum likelihood (always the recommended method)
|
|
•
|
EMS, which stands for expected mean squares (use only for teaching from old textbooks)
|
The EMS method, also called the method of moments, was developed before the availability of powerful computers. Researchers restricted themselves to balanced situations and used the EMS methodology, which provided computational shortcuts to compute estimates for random effect and mixed models. Because many textbooks still in use today use the EMS method to introduce models containing random effects, JMP provides an option for EMS. (See, for example, McCulloch, Searle, and Neuhaus, 2008, Poduri, 1997, and Searle, Casella, and McCulloch, 1992.)
Models with random effects are specified in the Fit Model launch window. To specify a random effect, highlight it in the Construct Model Effects list and select Attributes > Random Effect. This appends &Random to the effect name in the model effect list. (For a definition of random effects, see Random Effects.) Random effects can also be specified in a separate effects tab. (See Construct Model Effects Tabs in Model Specification.)
There are two different approaches to parameterizing the variance components: the unrestricted and the restricted approaches. The issue arises when there are mixed effects in the model, such as the interaction of a fixed effect with a random effect. Such an interaction term is considered to be a random effect.
You should leave the Unbounded Variance Components option selected if you are interested in fixed effects. Constraining the variance estimates to be nonnegative leads to bias in the tests for the fixed effects.
