JMP 13.2 Online Documentation (English)
Discovering JMP
Using JMP
Basic Analysis
Essential Graphing
Profilers
Design of Experiments Guide
Fitting Linear Models
Predictive and Specialized Modeling
Multivariate Methods
Quality and Process Methods
Reliability and Survival Methods
Consumer Research
Scripting Guide
JSL Syntax Reference
JMP iPad Help
JMP Interactive HTML
Capabilities Index
JMP 12 Online Documentation
Fitting Linear Models
•
Mixed Models
•
Statistical Details
• Random Coefficient Model
Previous
•
Next
Random Coefficient Model
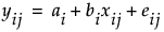
The standard random coefficient model specifies a random intercept and slope for each subject. Let
y
ij
denote the measurement of the
j
th
observation on the
i
th
subject. Then the random coefficient model can be written as follows:
where
and
You can reformulate the model to reflect the fixed and random components that are estimated by JMP as follows.
where
and
with
G
and
defined as above.
Previous
•
Next
Help created on 9/19/2017