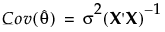
Denote the matrix of first partial derivatives of the model with respect to the parameters, θ, by X. Denote the error variance by σ2. Under general conditions, the least squares estimator of θ is asymptotically unbiased with asymptotic covariance matrix given as follows:
The Parameter Variance for Balanced Design outline gives (X‘X)-1, where derivatives are calculated numerically. The calculation assumes that the values specified as Prior Mean are the true parameter values.
Click Update Profiler to update the profiler if changes are made to Distribution Choice, Prior Mean, or Design Choices.

