Identifies the time to event (such as the time to failure) or time to censoring. For interval censoring, your data table should contain two columns, where one gives the lower bound and the other gives the upper bound of the failure time for each unit. Enter the two censoring columns as Time to Event. For details about censoring, see Event Plot in Life Distribution.
Determines the relationship between the event and the stress factor. Models for Relationship Options defines the model for each relationship.
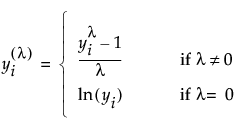
If you select Custom, additional controls appear that require you to define the Custom transformation that models the relationship between the lifetime event and the stress factor.
