LSL = Lower specification limit
USL = Upper specification limit
T = Target value
The percentile method replaces the mean in the standard capability formulas with the median of the fitted distribution and the 6σ range of values with the corresponding percentile range. The method is described in AIAG (2005).
Denote the α*100th percentile of the fitted distribution by Pα. Then Percentile method capability indices are defined as follows:
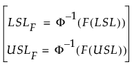
Let F denote the fitted distribution for a process variable with lower and upper specification limits given by LSL and USL. Define equivalent standard normal specification limits as follows:
Note: For very capable data, F(LSL) or F(USL) can be so close to zero or one, respectively, that LSLF or USLF cannot be computed. In these cases, JMP automatically switches from the Z-Score method to the Percentile method by default. This gives more meaningful capability indices. To turn off this default setting, select File > Preferences > Platforms > Process Capability.









