The Rao-Scott correction is applied to the test of response homogeneity for multiple responses. See Lavassani et al. (2009). The test of response homogeneity for multiple responses is available only for the structured tab.
C is the number of response levels (number of columns in the Crosstab table).

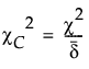
is the standard Pearson Chi-squared statistic and
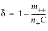
is the correction factor defined by
is the total count of the multiple responses
is the total number of participants and