Now you are ready to run your experiment, gather the Rating data, and insert the results in the Rating column of your Custom Design table.
|
1.
|
The Wine Data.jmp table is exactly the same as the Custom Design table shown in Figure 4.9, except that it contains your recorded experimental results.
|
2.
|
In the Table panel, click the green triangle next to the Model script.
|
Figure 4.10 Fit Model Dialog for Wine Experiment
Notice that Rater, the blocking factor, is added as a fixed effect, rather than as a random block effect. This is appropriate because the five raters were specifically chosen and are not a random sample from a larger population.
|
3.
|
Click Run.
|
Figure 4.11 Partial Model Fit Results
|
•
|
|
•
|
The Effect Tests report indicates that seven of the model terms are significant at the 0.05 level. Field, Temperature, and Barrel Age are not significant.
|
|
1.
|
In the Effect Summary report, press the Control key and hold it as you select Temperature, Field, and Barrel Age.
|
|
2.
|
Click Remove.
|
Figure 4.12 shows the Prediction Profiler. Recall that you specified a response goal of Maximize, with lower and upper limits of 0 and 20. Setting these limits caused a Response Limits column property to be saved to the Rating column in the Custom Design table. The Prediction Profiler uses the Response Limits information to construct a Desirability function, which appears in the right-most plot in the top row in Figure 4.12. The bottom row displays Desirability traces.
The first six plots in the top row show traces of the predicted model. For each factor, the line in the plot shows how Rating varies when all other factors are set at the values defined by the red dashed vertical lines. By default, the profiler appears with categorical factors set at their low settings. By varying the settings for the factors, you can see how the predicted Rating for wines changes. Notice that a confidence interval is given for the mean predicted Rating.
Observe that Rater is not included among the factors shown in the profiler. This is because Rater is a block variable. You included Rater to explain variation, but Rater is not of direct interest in terms of optimizing process factor settings. The predicted Rating for a wine with the given settings is the average of the predicted ratings for that wine by all raters.
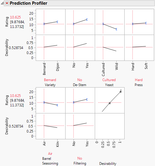
Figure 4.12 Profiler for Reduced Model
You would like to identify settings that maximize Rating across raters.
|
1.
|
From the Prediction Profiler red triangle menu, select Optimization and Desirability > Maximize Desirability.
|
|
2.
|
To see predicted ratings for all runs, save the Prediction Formula. From the Response Rating red triangle menu, select Save Columns > Prediction Formula.
|
A column called Pred Formula Rating is added to the data table. Note that one of the runs, row 33, was given the maximum rating of 20 by Rater 5. The predicted rating for that run by Rater 5 is 19.550. But the row 33 trial was run at the optimal settings. The predicted value of 19.925 given for these settings in the Prediction Profiler is obtained by averaging the predicted ratings for that run over all five raters.
When you maximized desirability, you learned that the optimal rating is achieved with the Dijon variety of grapes. See Figure 4.13. Your manager points out that it would be cost-prohibitive to replant the fields that are growing Bernard grapes with young Dijon vines. Therefore, you need to find optimal process settings and the predicted rating for Bernard grapes.
|
1.
|
|
2.
|
Press Control and click in one of the Variety plots.
|
|
3.
|
|
4.
|
From the Prediction Profiler red triangle menu, select Optimization and Desirability > Maximize Desirability.
|
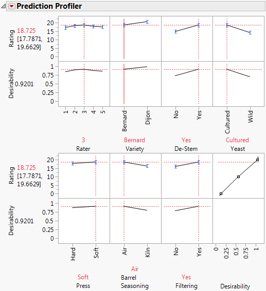
If you want to see the Profiler traces for the levels of Rater, perform the following steps:
|
1.
|
From the Prediction Profiler red triangle menu, select Reset Factor Grid.
|
A Factor Settings window appears with columns for all of the factors, including Rater. The box under Rater and next to Show is not checked. This indicates that Rater is not shown in the Prediction Profiler.
|
2.
|
|
3.
|
|
4.
|
Click OK.
|
|
5.
|
Click in either plot above Rater.
|
Figure 4.15 Profiler for Reduced Model Showing Rater
A dashed vertical red line appears. Drag this line to see the traces for each of the raters. Keep in mind that Variety is still locked at Bernard. To unlock Variety, press Control and click in one of the Variety plots. In the Factor Settings window that appears, deselect Lock Factor Setting.





