To compute F-values and degrees of freedom, let p be the rank of
. Let q be the rank of
, where the L matrix identifies elements of
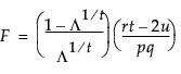
associated with the effect being tested. Let v be the error degrees of freedom and s be the minimum of p and q. Also let
and
.
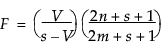
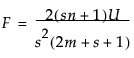
. Let q be the rank of
, where the L matrix identifies elements of
associated with the effect being tested. Let v be the error degrees of freedom and s be the minimum of p and q. Also let
and
.Table 9.2, gives the computation of each approximate F from the corresponding test statistic.











